• Предмет: Алгебра
  • Автор: АНТО14
  • Вопрос задан 10 лет назад

Пожалуйста помогите !!!!!!

Приложения:

Ответы

Ответ дал: sirca
0
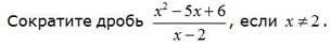
 frac{x^2-5x+6}{x-2} = frac{(x-2)(x-3)}{x-2}=x-3
Ответ дал: АНТО14
0
Спасибо
Ответ дал: АНТО14
0
Где ты взялиэу картинку?
Ответ дал: АНТО14
0
Взял
Вас заинтересует