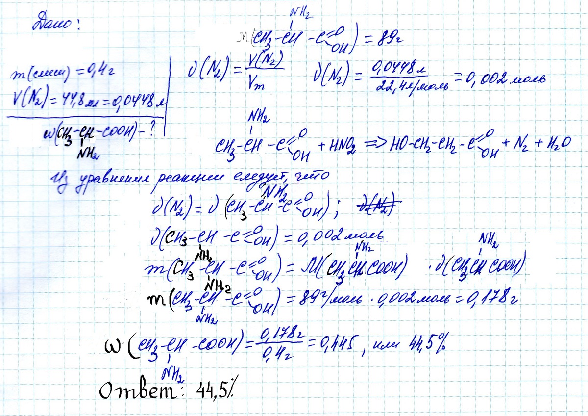
Сколько процентов аланина было в смеси, если в результате взаимодействия нитритной кислоты с 0,4 г этой смеси выделилось 44,8 мл азота (н.у)? (Ответ должен быть 45%)
Реакция взаимодействия нитритной кислоты с аминокислотами происходит по схеме: (см. вложение)
Приложения:
Ответы
Ответ дал:
0
n( аланина CH3CH(NH2)COOH) = n(N2) = 0,0448/22,4 = 0,002 моль;
m( аланина CH3CH(NH2)COOH) = 0,002 * 89= 0,178 г
w( аланина) = 0,178/ 0,4= 0,445 или 44,5 %
Ответ дал:
0
Большое спасибо!
Ответ дал:
0
решение задачи см. в приложении.
Примечание: если массу аланина округлить до 0,18 г, тогда с ответом совпадает - 45%.
Примечание: если массу аланина округлить до 0,18 г, тогда с ответом совпадает - 45%.
Приложения:
Ответ дал:
0
Всё думала, что же округлить, чтобы получилось 45%! Спасибо вам огромнейшее!
Ответ дал:
0
Формула аланина - СН3-СН(NH2)-COOH - алфа-аминопропановая кислота. Переставьте в формулах группу NH2
Вас заинтересует
3 года назад
3 года назад
8 лет назад
8 лет назад
10 лет назад
10 лет назад
10 лет назад