Ответы
Ответ дал:
0
нет. из первого уравнения выразим х. х=(8-4у)/5. подставим во второе ур-е. получим: 16-8у+8у=9, 16=9. значит решений не имеет
Ответ дал:
0
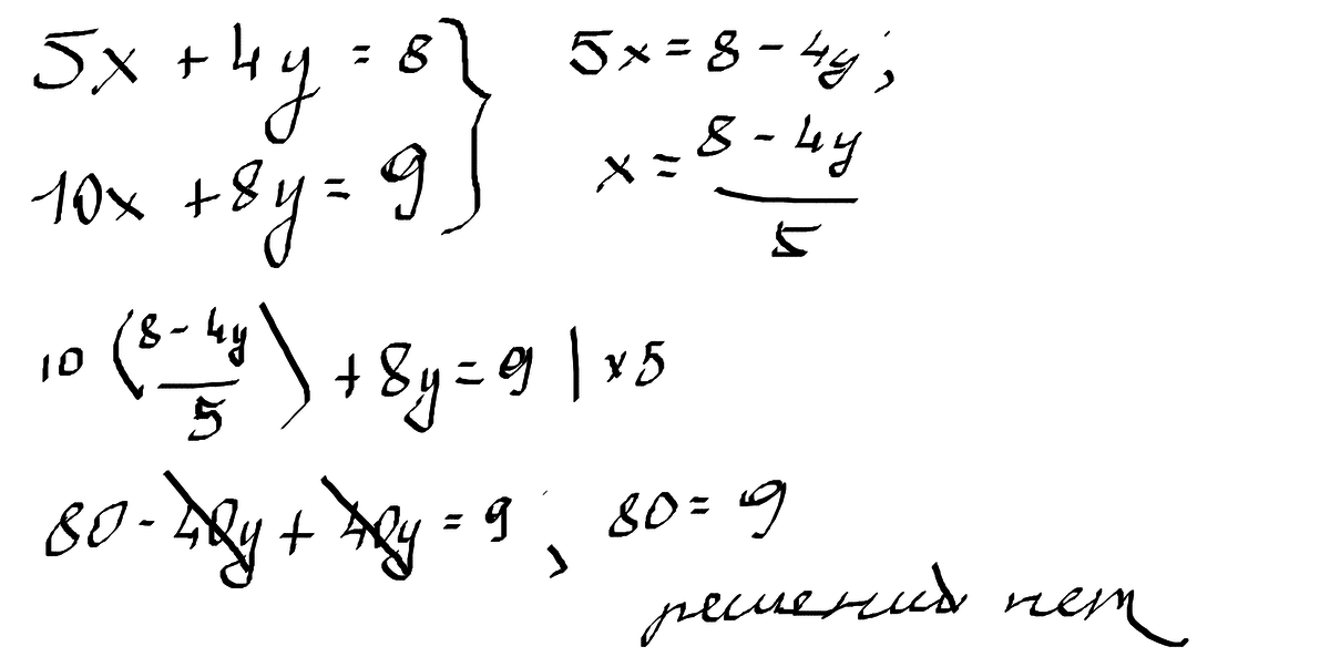
Решений нет, обоснование на рисунке:
Приложения:

Вас заинтересует
2 года назад
2 года назад
7 лет назад
7 лет назад
9 лет назад