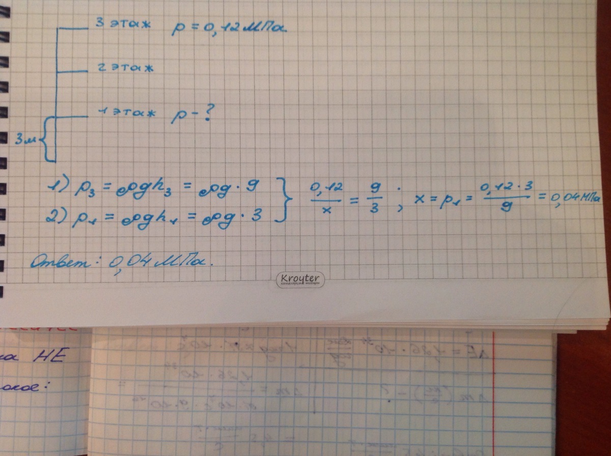
на третьем этаже многоэтажного дома давление воды в водопроводе равно 0.12 МПа Чему равняется давление на первом этаже если высота этажа 3 м
Ответы
Ответ дал:
0
Ответ: 0,04 МПа
Решение на фотографии
Решение на фотографии
Приложения:
Вас заинтересует
2 года назад
2 года назад
8 лет назад
8 лет назад
10 лет назад
10 лет назад