• Предмет: Алгебра
  • Автор: alekseigaluckih
  • Вопрос задан 10 лет назад

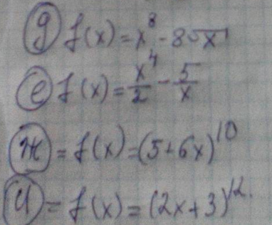
СРОЧНО НУЖНА ПОМОЩЬ! НУЖНО НАЙТИ ПРОИЗВОДНУЮ ВОТ ЭТИХ ВЫРАЖЕНИЙ

Приложения:

Ответы

Ответ дал: sirca
0
(x^8-8 sqrt{x} )'=8x^7- frac{4}{ sqrt{x} } \\( frac{x^4}{2} - frac{5}{x} )'=2x^3+ frac{5}{x^2} \\((5+6x)^{10})'=10*(5+6x)^9*6=60(5+6x)^9\\((2x+3)^{12})'=12((2x+3)^{11})*2=24(2x+3)^{11}
Ответ дал: alekseigaluckih
0
да. спасибо всё верно
Вас заинтересует