• Предмет: Алгебра
  • Автор: judylove
  • Вопрос задан 11 лет назад

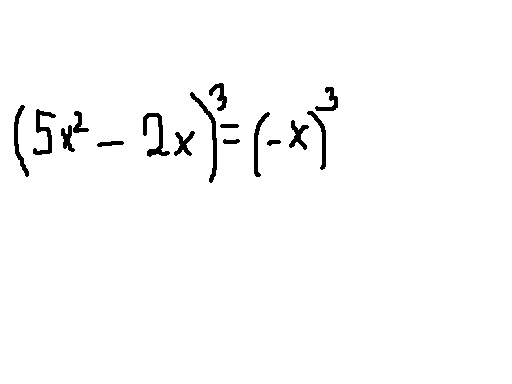
решите уравнение (см.вложение)

Приложения:

Ответы

Ответ дал: Ivanna2013
0

(5x^2-2x)^3=(-x)^3\ 5x^2-2x=-x\ 5x^2-2x+x=0\ 5x^2-x=0\ x(5x-1)=0\ x_1=0\x_2=0.2

Вас заинтересует