Решите систему логарифмических уравнений)
по подробнее пожалуйста) :)
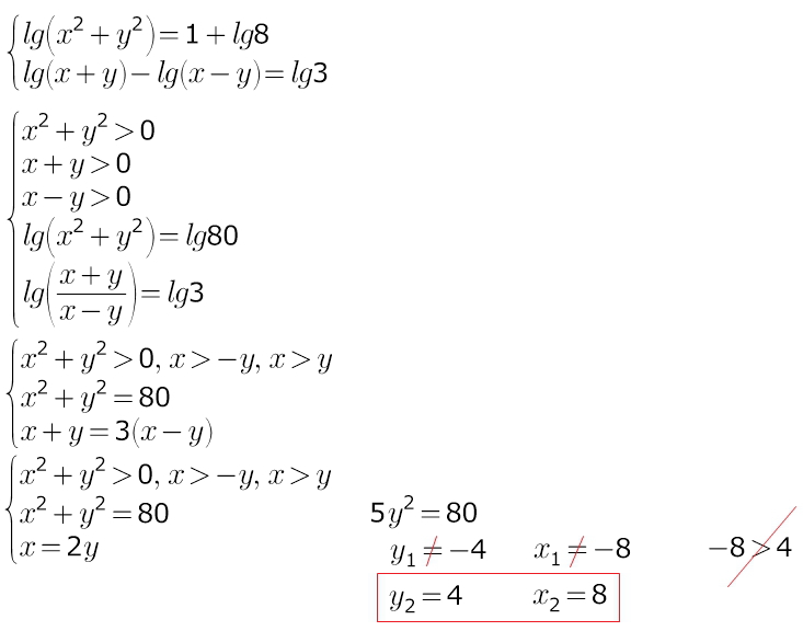
lg(x²+y²)=1+lg8
lg(x+y)-lg(x-y)=lg3
Ответы
Ответ дал:
0
-------------------------------------
Приложения:

Вас заинтересует
2 года назад
2 года назад
7 лет назад
7 лет назад
9 лет назад
10 лет назад