• Предмет: Алгебра
  • Автор: ivgvhcghghg124
  • Вопрос задан 10 лет назад

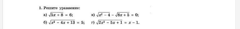
Прошу, помогите, очень надо...

Приложения:

Ответа на этот вопрос пока нет. Попробуйте найти его через форму поиска.

Вас заинтересует