Ответы
Ответ дал:
0
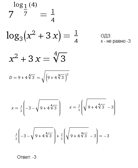
Смотрите приложение....
(В первом ОДЗ еще и x≠0)
(В первом ОДЗ еще и x≠0)
Приложения:


Вас заинтересует
2 года назад
2 года назад
9 лет назад
9 лет назад
10 лет назад