Ответы
Ответ дал:
0
================================================
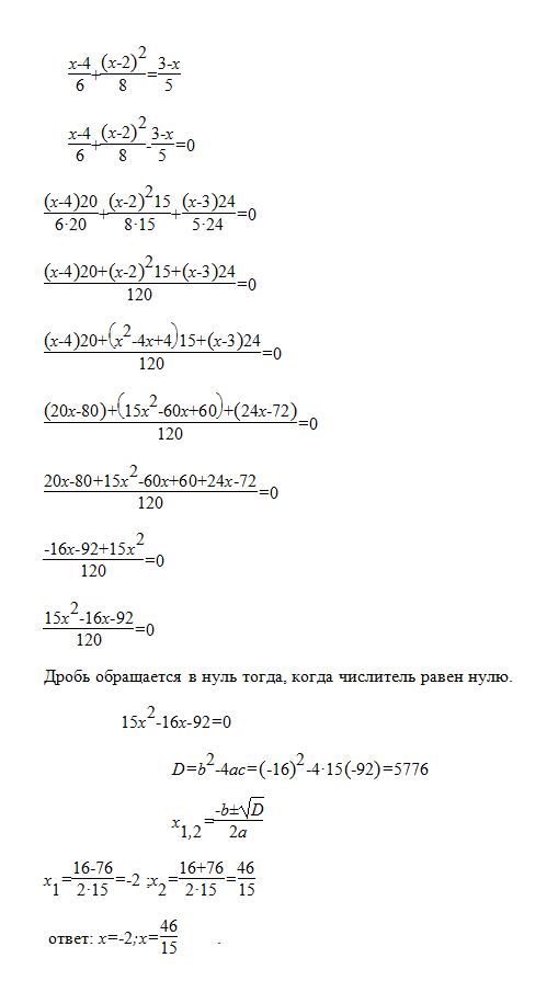
Приложения:

Вас заинтересует
8 лет назад
10 лет назад
10 лет назад
10 лет назад