Ответы
Ответ дал:
0
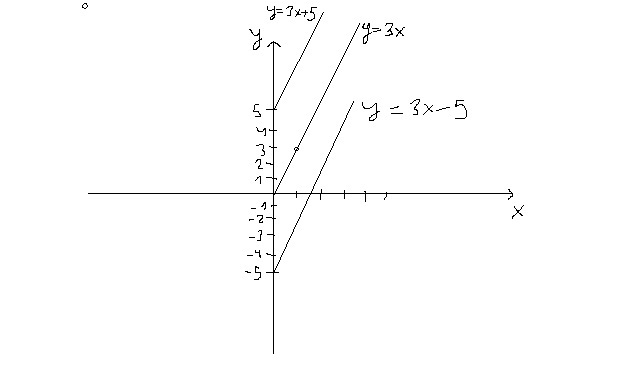
это функции линейной зависимости, их графики это прямые.
можно построить следующим образом
построить график y=3x по двум точкам x=0,y=0 (0,0)
x=1, y=3 (1,3)
график y=3x+5 получается параллельным переносом графика y=3x на 3 единицы вверх
график y=3x-5 получается параллельным переносом графика y=3x на 3 единицы вниз см картинку
можно построить следующим образом
построить график y=3x по двум точкам x=0,y=0 (0,0)
x=1, y=3 (1,3)
график y=3x+5 получается параллельным переносом графика y=3x на 3 единицы вверх
график y=3x-5 получается параллельным переносом графика y=3x на 3 единицы вниз см картинку
Приложения:

Вас заинтересует
2 года назад
2 года назад
9 лет назад