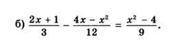
РЕБЯТА ПРОШУ СРОЧНО!!! РЕШИТЕ ПОЖАЛУЙСТА РАЦИОНАЛЬНОЕ УРАВНЕНИЕ (ЕСЛИ НЕ СЛОЖНО, ТО ЕЩЁ ПОДРОБНЕЕ ОПИШИТЕ КАК РЕШАЛИ ЕГО) 2x+1/3-4x-x^2/12=x^2-4/9
Приложения:
Ответа на этот вопрос пока нет. Попробуйте найти его через форму поиска.
Вас заинтересует
3 года назад
3 года назад
8 лет назад
8 лет назад
10 лет назад
10 лет назад
10 лет назад