Ответ пожалуйста срочно
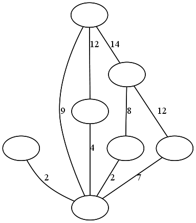
В стране есть несколько городов, соединенных двусторонними дорогами. Каждую дорогу можно за некоторое количество денег (оно указано на рисунке возле дороги) превратить в скоростную магистраль. За какое минимальное количество денег можно добиться того, чтобы из любого города можно было попасть в любой другой, передвигаясь только по скоростным магистралям
Приложения:
Ответы
Ответ дал:
0
2 + 9 + 4 +2 +7 +8 = 32
Вас заинтересует
3 года назад
8 лет назад
10 лет назад
10 лет назад
10 лет назад