Ответы
Ответ дал:
0
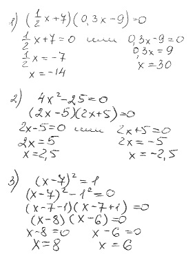
а)0,15 х^2-4,5х+2,1х-63=0
0,15х^2 -2,4-63=0
Д=(-2,4)^2+4*0,15*63=43,56
х1=30
х2=-14
б) 4х^2=25
4х^2=25
х^2=6,25
х=2,5
в)х^2 -14х+48=0
Д=(-14)^2-4*48=4
х1=5
Х2=9
Ответ дал:
0
надеюсь, мой вариант решения вам будет понятен и подойдет))
Приложения:

Вас заинтересует
2 года назад
2 года назад
8 лет назад
10 лет назад
10 лет назад
10 лет назад