Ответы
Ответ дал:
0
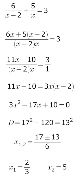
6/(x-2)+5/x=3
(6x+5x-10)/(x×(x-2))=3
11x-10=3×(x^2-2x)
11x-10=3x^2-6x
3x^2-17x+10=0
D=13^2
x1=(17+13)/6
x1=5
x2=(17-13)/6
x2=2/3
(6x+5x-10)/(x×(x-2))=3
11x-10=3×(x^2-2x)
11x-10=3x^2-6x
3x^2-17x+10=0
D=13^2
x1=(17+13)/6
x1=5
x2=(17-13)/6
x2=2/3
Ответ дал:
0
и делайте проверку ---это полезно...
(6/3)+(5/5) = 2+1 = 3
6:((2/3) - 2)) + 5:(2/3) = 6:((2-6)/3) + 15/2 = -9/2 + 15/2 = (15-9)/2 = 6/2
(6/3)+(5/5) = 2+1 = 3
6:((2/3) - 2)) + 5:(2/3) = 6:((2-6)/3) + 15/2 = -9/2 + 15/2 = (15-9)/2 = 6/2
Приложения:
Вас заинтересует
3 года назад
10 лет назад
10 лет назад
10 лет назад