• Предмет: Математика
  • Автор: ledi9898
  • Вопрос задан 10 лет назад

Как решить?Полное решение подалуйста!!!

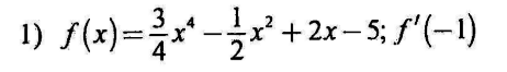
Приложения:

Ответы

Ответ дал: m11m
0
f ' (x)=3x³ - x+2
f ' (-1)=3*(-1)³ - (-1)+2= -3+1+2=0
Ответ дал: ledi9898
0
это все
Ответ дал: m11m
0
да
Вас заинтересует