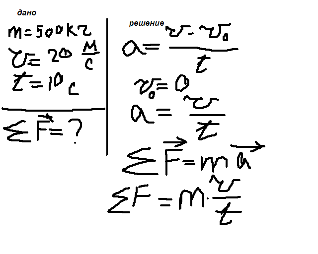
Автомобиль массой 500кг, разгоняясь с места равноускоренно,достиг скорости 20м/с за 10сек. Равнодействующая всех сил,действующих на автомобиль равно?
Ответы
Ответ дал:
0
только подсчитать.............
Приложения:

Вас заинтересует
2 года назад
2 года назад
8 лет назад
10 лет назад
10 лет назад
10 лет назад