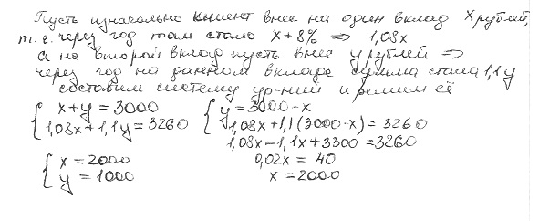
КЛИЕНТ ВНЁС 3000 РУБЛЕЙ НА ДВА ВКЛАДА, ОДИН ИЗ КОТОРЫХ ДАЁТ ГОДОВОЙ ДОХОД, РАВНЫЙ 8%, А ДРУГОЙ 10% ЧЕРЕЗ ГОД НА ДВУХ СЧЕТАХ У НЕГО БЫЛО 3260РУБЛЕЙ . КАКУЮ СУММУ КЛИЕНТ ВНЁС НА КАЖДЫЙ ВКЛАД? заранее спасибо
Ответы
Ответ дал:
0
__________________________________
Приложения:

Вас заинтересует
2 года назад
8 лет назад
10 лет назад
10 лет назад
10 лет назад