• Предмет: Алгебра
  • Автор: kiryaumnik1999
  • Вопрос задан 11 лет назад

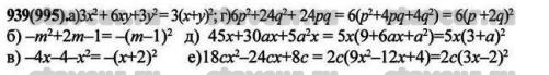
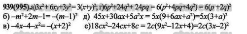
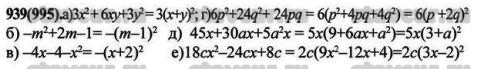
№ 939 из Алгебры 7 кл. Макарычев и Миндюк. а)3x в 2+6xy+3y в 2=3(x в 2+2ab+b в 2)=3(x+y) в 2= =3(x+y)(x+y)

Ответы

Ответ дал: Katrinchi
0

Решение правильной можешь мне поверить

Приложения:
Ответ дал: love67
0

)3x ²+6xy+3y²=3(х²+2ху+у²)=3 (х+у)²

Приложения:
Вас заинтересует