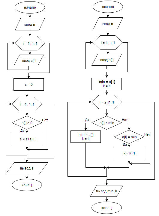
1.Нарисуйте блок-схему алгоритма вычисления суммы положительных элементов массива А, состоящего из n целых чисел.
2.Пусть А – массив целых чисел; n – количество элементов массива А. Нарисуйте блок-схему алгоритма, определяющего количество минимальных элементов массива А.
Ответы
Ответ дал:
0
Блок-схемы алгоритмов - в прилагаемом файле.
Приложения:

Вас заинтересует
2 года назад
7 лет назад
9 лет назад
10 лет назад