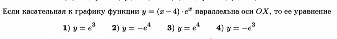
Помогите, пожалуйста, нужно найти уравнение касательной к графику и с подробным решением, если можно
Приложения:

Ответы
Ответ дал:
0
касательная к графику функции параллельна оси Ох⇒ у'=0
y'=
*(x-4)'+(
)'*(x-4)
*(x-3)=0
x=3
уравнение касательной: y=f(x0)+F'(x0)*(x-x0)
F(x0)=-e³
f'(x0)=0
y=-e³
ответ:4
y'=
x=3
уравнение касательной: y=f(x0)+F'(x0)*(x-x0)
F(x0)=-e³
f'(x0)=0
y=-e³
ответ:4
Вас заинтересует
2 года назад
2 года назад
10 лет назад
10 лет назад
10 лет назад