ребята помтогите срочно,через час в школу надо очень((
Номер 535(1-4)
1)а во 2 стпени-b во 2 степени ДРОБНАЯ ЧЕРТА 6а во 2 степени b во 2 степени РАЗДЕЛИТЬ а+b ДРОБНАЯ ЧЕРТА 3 аb=?
2)а во 2 степени b-4b в 3степени ДРОБНАЯ ЧЕРТА 3аb во 2 степени УМНОЖИТЬ а во 2 степениb ДРОБНАЯ ЧЕРТА а во 2 степени-2аb=?
3)х во 2 степени-ху ДРОБНАЯ ЧЕРТА х во 2 степени+ху УМНОЖИТЬ х во 2 степени у+ху во 2 степени ДРОБНАЯ ЧЕРТА ху=?
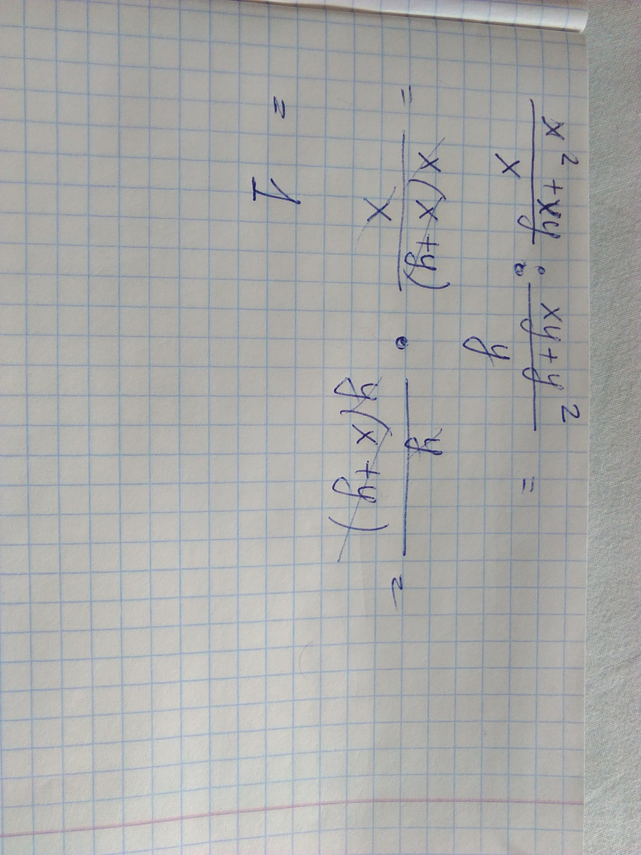
4)х во 2 степени+ху ДРОБНАЯ ЧЕРТА РАЗДЕЛИТЬ ху+у во 2 степени ДРОБНАЯ ЧЕРТА у=?
срочно помогите прошу отдам 20 баллов последние прошу мне двойку поставят а я тему не поняла,если что то надо спрашивайте))))СРОООООЧНОООООООООО ПРОШУУУУ
Ответы
Ответ дал:
0
по-моему, первый записала наконец - если неправильно напиши
прицепляю фото
сейчас другие через пару мин
прицепляю фото
сейчас другие через пару мин
Приложения:




Ответ дал:
0
третий поправила
Ответ дал:
0
спасибо и 2 остальс0
Ответ дал:
0
поправила и второй
Ответ дал:
0
спасибо большое))
Ответ дал:
0
Пожалуйста ))
Вас заинтересует
2 года назад
2 года назад
7 лет назад
7 лет назад
10 лет назад
10 лет назад
10 лет назад