• Предмет: Алгебра
  • Автор: taliyan
  • Вопрос задан 11 лет назад

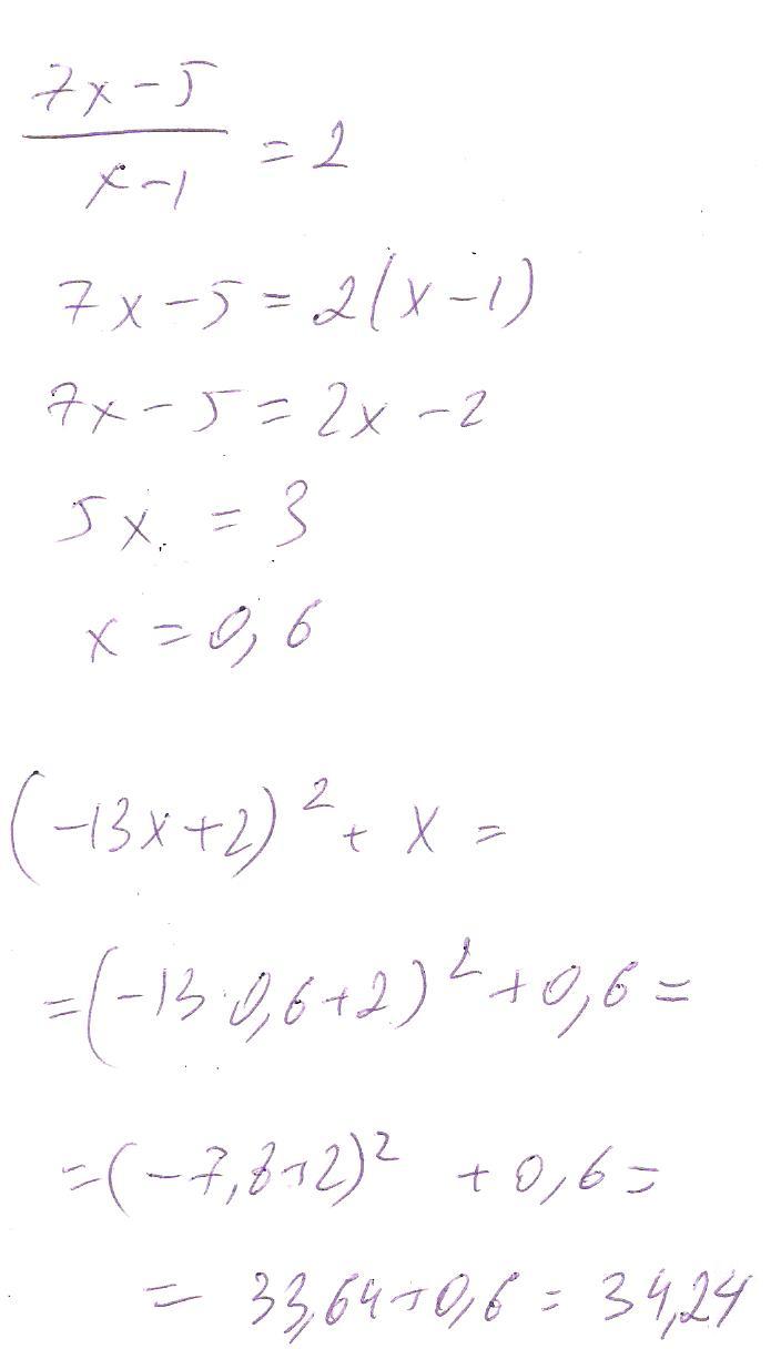
Найти число (-13х+2)^2+х, где х - корень уровнения (7х-5)/(х-1)=2

Ответы

Ответ дал: Artem112
0

надеюсь будет понятно.....

Приложения:
Ответ дал: twilight16
0

(-13х+2)^2+х, где х - корень уравнения (7х-5)/(х-1)=2

7x-5-2x+2=0

5x-3=0

x=3/5=0.6

(-13*0.6+2)^2+0.6=(-5.8)^2+0.6=33.64+0.6=34.24.

   
Приложения:
Вас заинтересует
11 лет назад