Ответы
Ответ дал:
0
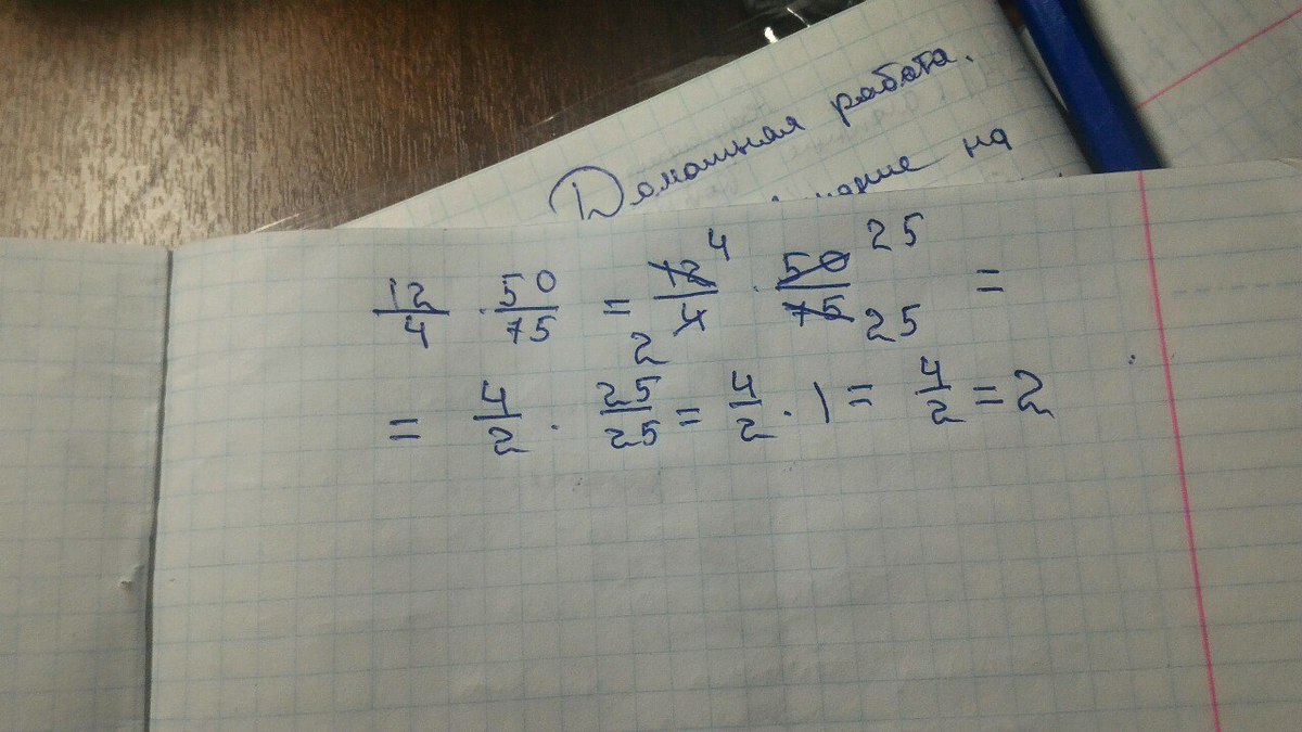
Уверен, что правильно переписаны числителизнаменатели? Просто если бы было 1275 * 50*4, то все было бы гораздо проще :) А так - прошу.
Надеюсь, все понятно. 50 и 4 сокращаем на 2, 12 и 75 - на 3.
Надеюсь, все понятно. 50 и 4 сокращаем на 2, 12 и 75 - на 3.
Приложения:

Ответ дал:
0
не можешь?
Ответ дал:
0
могу, ну час где-то
Ответ дал:
0
Вычислите площадь круга, если его радиус равен 7 см.
Ответ дал:
0
по-моему это пи эр квадрат
Ответ дал:
0
то есть 7^2 * 3,1416
Вас заинтересует
2 года назад
7 лет назад
7 лет назад
9 лет назад
9 лет назад
10 лет назад
10 лет назад