• Предмет: Алгебра
  • Автор: Kathy2013
  • Вопрос задан 11 лет назад

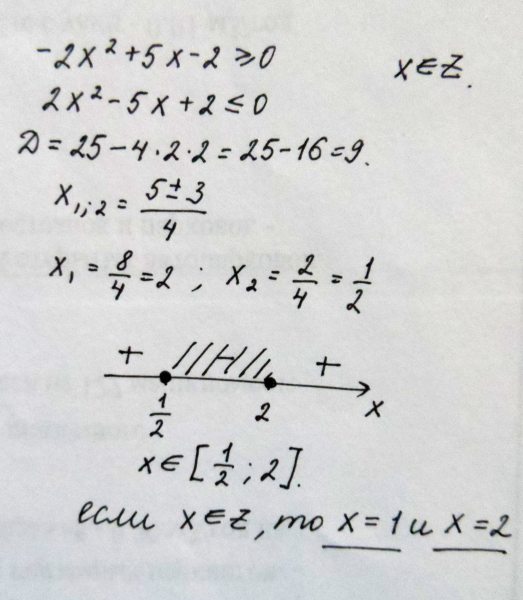
Найдите все целые решения неравенства-2х2+5х-2≥0

Ответы

Ответ дал: dasha00000000000
0

Решение прикреплено файлом!

Приложения:
Ответ дал: irkarom
0

 -2x^2+5x-2≥0 |*(-1)

2x^2-5x+2≤0

2x^2-5x+2=0

D=25-4*2*2=25-16=9

x1=(5+3)/4=2

x2=(5-3)/4=0.5

Смотри риссунок:

Поскольку ≤ 0, то промежуток будет [0.5; 2].

целые решения неравенства: 1 и 2

Приложения:
Вас заинтересует