Ответы
Ответ дал:
0
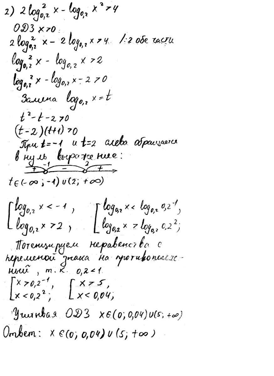
Решение в приложении. Это о неравенствах.
Второй рисунок.
1. Размах равен 5-(-3)=8
мода равна 2 (наиболее часто встречающаяся величина)
медиана равна 0. Так как если расположить по возрастанию, то
-3; -2; -1; 0; 2; 3; 5. Посередине этих чисел стоит ноль.
4-е приложение
2. Решение в приложении
Первый рисунок.
На каждого покупателя приходится 2000:50=40 литров молока. Теперь нужно узнать: сколько литров какой жирности молока нужно.
0% жирности 40*10=400 литров молока
0,5% жирности 40*6=240 литров молока
1% жирности 40*4=160 литров молока
1,5% жирности 40*5=200 литров молока
2,5% жирности 40*12=480 литров молока
3,5% жирности 40*7=280 литров молока
5% жирности 40*6=240 литров молока
5-е приложение это задачка по геометрии
Второй рисунок.
1. Размах равен 5-(-3)=8
мода равна 2 (наиболее часто встречающаяся величина)
медиана равна 0. Так как если расположить по возрастанию, то
-3; -2; -1; 0; 2; 3; 5. Посередине этих чисел стоит ноль.
4-е приложение
2. Решение в приложении
Первый рисунок.
На каждого покупателя приходится 2000:50=40 литров молока. Теперь нужно узнать: сколько литров какой жирности молока нужно.
0% жирности 40*10=400 литров молока
0,5% жирности 40*6=240 литров молока
1% жирности 40*4=160 литров молока
1,5% жирности 40*5=200 литров молока
2,5% жирности 40*12=480 литров молока
3,5% жирности 40*7=280 литров молока
5% жирности 40*6=240 литров молока
5-е приложение это задачка по геометрии
Приложения:





Ответ дал:
0
ну что?
Ответ дал:
0
а на 2 картинке 2 задание показать на рисунке розмах моду и медиану?
Ответ дал:
0
и также их найти?
Ответ дал:
0
вроде как написала!
Ответ дал:
0
4-е приложение. нажми f5
Вас заинтересует
2 года назад
2 года назад
7 лет назад
9 лет назад
9 лет назад
10 лет назад