Ответы
Ответ дал:
0
Решение
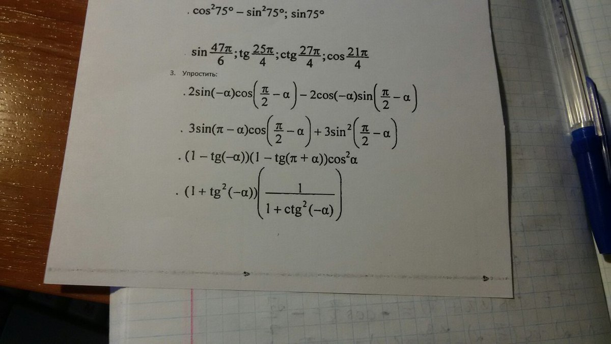
1) 2sin(- α) * cos(π/2 - α) - 2cos( - α)*sin(π/2 - α) =
= - 2sinα * sinα - 2cosα * cosα = 2*(sin²α + cos²α) = - 2
2) 3*sin(π - α) * cos(π/2 - α) + 3*sin²(π/2 - α) =
= 3*sinα * sinα + 3*cos²α = 3*(sin²α + cos²α) = 3
3) (1 - tg(- α))*(1 - tg(π + α))*cosα =
= (1 + tgα)*(1 - tgα)*cos²α = (1 - tg²α)*cos²α =
= (1 - sin²α / cos²α)*cos²α = [(cos²α - sin²α) / cos²α] * cos²α =
= cos2α
4) (1 + tg²(- α)) * {1 / 1 + ctg²(- α)]} = (1 + tg²α) / (1 + ctg²α) =
= [( cos²α + sin²α)*sin²α] / [(sin²α + cos²α)*cos²α] =
= sin²α / cos²α = tg²α
или
(1 + tg²α)/(1 + 1/tg²α) = [(1 + tg²α)*tg²α] / (1 + tg²α) = tg²α
1) 2sin(- α) * cos(π/2 - α) - 2cos( - α)*sin(π/2 - α) =
= - 2sinα * sinα - 2cosα * cosα = 2*(sin²α + cos²α) = - 2
2) 3*sin(π - α) * cos(π/2 - α) + 3*sin²(π/2 - α) =
= 3*sinα * sinα + 3*cos²α = 3*(sin²α + cos²α) = 3
3) (1 - tg(- α))*(1 - tg(π + α))*cosα =
= (1 + tgα)*(1 - tgα)*cos²α = (1 - tg²α)*cos²α =
= (1 - sin²α / cos²α)*cos²α = [(cos²α - sin²α) / cos²α] * cos²α =
= cos2α
4) (1 + tg²(- α)) * {1 / 1 + ctg²(- α)]} = (1 + tg²α) / (1 + ctg²α) =
= [( cos²α + sin²α)*sin²α] / [(sin²α + cos²α)*cos²α] =
= sin²α / cos²α = tg²α
или
(1 + tg²α)/(1 + 1/tg²α) = [(1 + tg²α)*tg²α] / (1 + tg²α) = tg²α
Ответ дал:
0
От души
Ответ дал:
0
Большое спасибо
Вас заинтересует
3 года назад
3 года назад
8 лет назад
8 лет назад
10 лет назад
10 лет назад
10 лет назад