• Предмет: Алгебра
  • Автор: palach320
  • Вопрос задан 11 лет назад

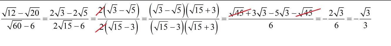
Объясните почему так получается? frac{sqrt{12}-sqrt{20}}{sqrt{60}-sqrt{36}}=-frac{sqrt{3}}{3}

Ответы

Ответ дал: Аноним
0

см.вложение

=================================

 

Приложения:
Вас заинтересует