Ответы
Ответ дал:
0
Программа:
var x,y:real;
begin
write('x = '); readln(x);
if x>=3
then y:=2*cos(x-pi/6)
else if x>0 then y:=1+sqr(sin(x))
else y:=sqrt(abs(x*x*x-1));
writeln('y = ',y);
end.
Пример:
x = 4
y = -1.88894645668699
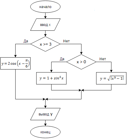
Блок-схема - в прилагаемом файле.
var x,y:real;
begin
write('x = '); readln(x);
if x>=3
then y:=2*cos(x-pi/6)
else if x>0 then y:=1+sqr(sin(x))
else y:=sqrt(abs(x*x*x-1));
writeln('y = ',y);
end.
Пример:
x = 4
y = -1.88894645668699
Блок-схема - в прилагаемом файле.
Приложения:

Вас заинтересует
2 года назад
2 года назад
7 лет назад
10 лет назад
10 лет назад
10 лет назад