Ответы
Ответ дал:
0
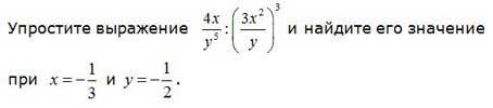
(4x/y⁵) * (y³/(3³*x⁶))=4/(3³*y²x⁵)
4/(3³ * (-1/2²) * (-1/3⁵))= 4/(- 1/(3² * 4))= - 4*4*3²= -144
4/(3³ * (-1/2²) * (-1/3⁵))= 4/(- 1/(3² * 4))= - 4*4*3²= -144
Вас заинтересует
2 года назад
2 года назад
8 лет назад
8 лет назад
10 лет назад
10 лет назад
10 лет назад
10 лет назад