• Предмет: Алгебра
  • Автор: vikamr08
  • Вопрос задан 11 лет назад

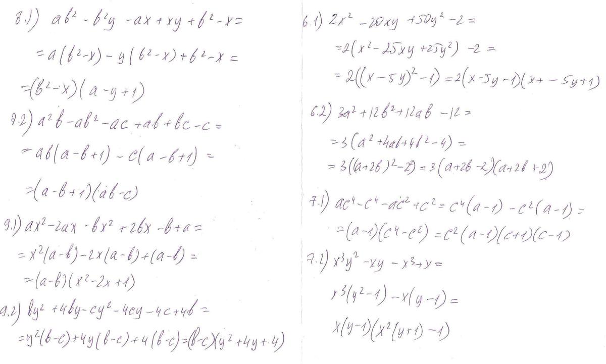
Разложить на множители
6-9
Хоть немного подскажите, а то группировкой что-то не выходит... 

Приложения:

Ответы

Ответ дал: Artem112
0

надеюсь будет понятно.....

Приложения:
Вас заинтересует