• Предмет: Физика
  • Автор: arinazabelina2
  • Вопрос задан 10 лет назад

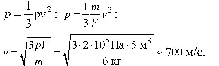
Какова средняя квадратичная скорость движения молекул газа, если имея массу 3 кг, он занимает объём 2,5 м в Кубе при давлении 400 кПа

Ответы

Ответ дал: PixeLRoki
0
Вот решение этой задачи
Приложения:
Вас заинтересует