• Предмет: Алгебра
  • Автор: Sashka8111
  • Вопрос задан 11 лет назад

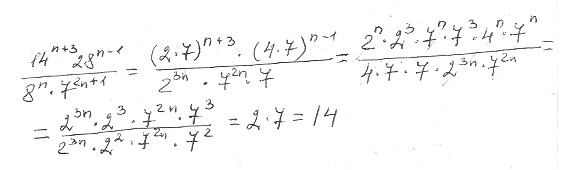
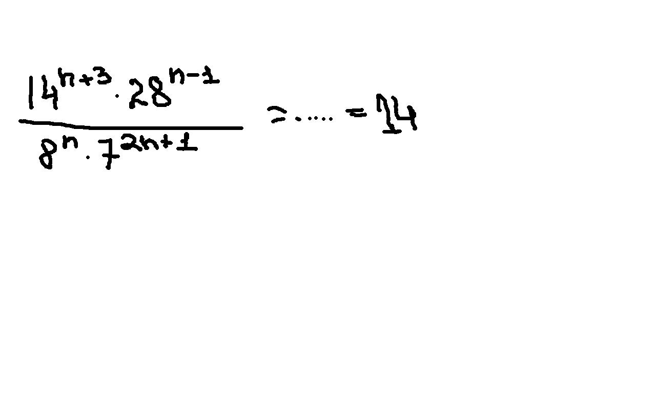
Сократите дробь

Срочно

во вложении

 

 

 

 

Приложения:

Ответы

Ответ дал: Ellenochka
0

_______________________________

Приложения:
Вас заинтересует