• Предмет: Алгебра
  • Автор: Ромашка2796
  • Вопрос задан 11 лет назад

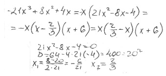
Помогите! :*    Розкладіть на множники вираз:

 

                                                         -21x3 +8x2 + 4x

Ответы

Ответ дал: Ellenochka
0

__________________________________________________

Приложения:
Вас заинтересует