• Предмет: Математика
  • Автор: PetrowaLaura
  • Вопрос задан 10 лет назад

Помогите решить номера 2-4!!!! С решением пожалуйста!

Приложения:

Ответы

Ответ дал: fashnail
0
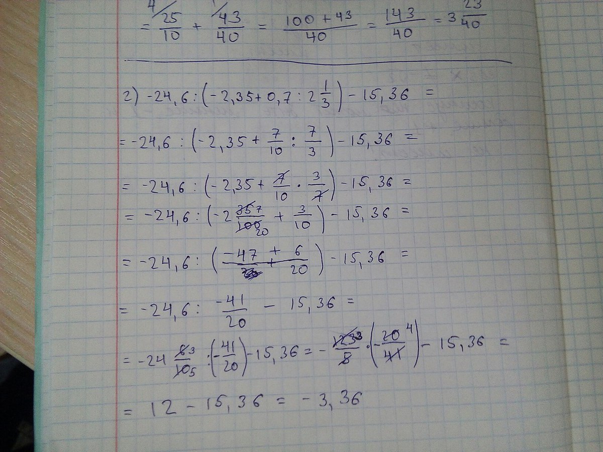
Решение 2 го номера в прикрепленной фотографии 
3 го тоже
 
Приложения:
Ответ дал: PetrowaLaura
0
Спасибо конечно, но я попросила НОМЕРА!, а не примеры
Вас заинтересует