Вычислить площадь фигуры ограниченной линиями
.
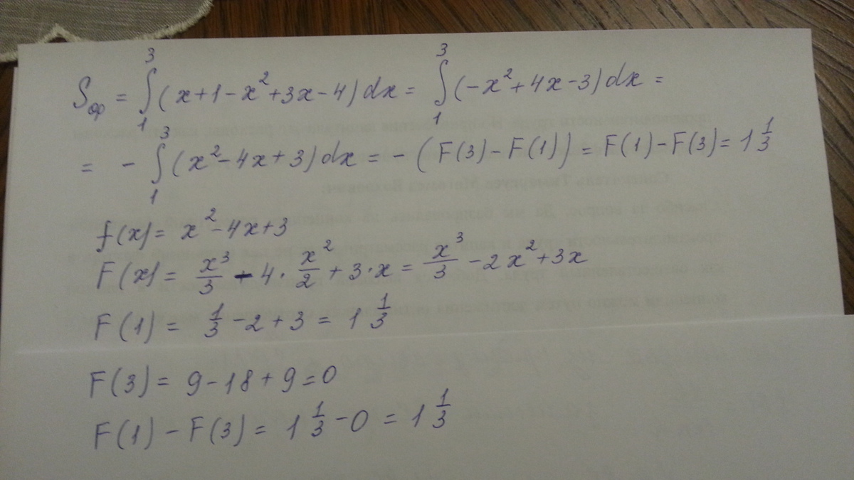
Решать эту задачу по действиям, действия на фотографиях! За ранее, извините за фото. Главное соблюдать порядок действия!
Приложения:
Ответы
Ответ дал:
0
Парабола у=х²-3х+4 имеет вершину в точке (1,5 ; 1,75) , ветви вверх, точек пересечения с ОХ нет, т.к.D=-7<0.
Прямая у=х+1 пересекает параболу в точках х=1 и х=3, так как

Прямая лежит выше параболы.

Прямая у=х+1 пересекает параболу в точках х=1 и х=3, так как
Прямая лежит выше параболы.
Ответ дал:
0
************************************
Приложения:
Вас заинтересует
3 года назад
8 лет назад
10 лет назад
10 лет назад
10 лет назад