• Предмет: Геометрия
  • Автор: HUMMER3
  • Вопрос задан 11 лет назад

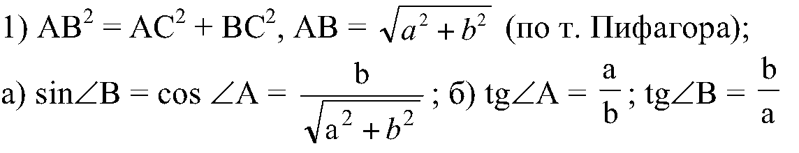
597Катеты прямоугольного треугольника равны a и b.Выразите через a и b гипотенузу и тангенсы острых углов треугольника и найдите их значения при a=12,b=15.

 

594В прямоугольном треугольнике один из катетов равен b,а прилежащий угол равен β .
а)Выразите другой катет,противолежащий ему угол и гипотенузу через b и β .
b)Найдите их значения,если b=10 см,?=50 градусов

 

595В примоугольном треугольнике один из катетов равен b, а прилежащий к нему угол равен α a)Выразите второй катет,прилежащий к нему острый угол и гипотенузе через b и α.
б)Найдите их значения,если b=12 см,?=42 градусов

Ответы

Ответ дал: Аноним
0

<<<<<<<<<<<<<<Все решения во вложениях>>>>>>>>>>>>>>>

Приложения:
Ответ дал: Smalik71rus
0

597

Дано:

угол С=90

BC=a

AC=b

Найти: AC,угол A и уголB

Решение:

см вложение

 

Приложения:
Вас заинтересует