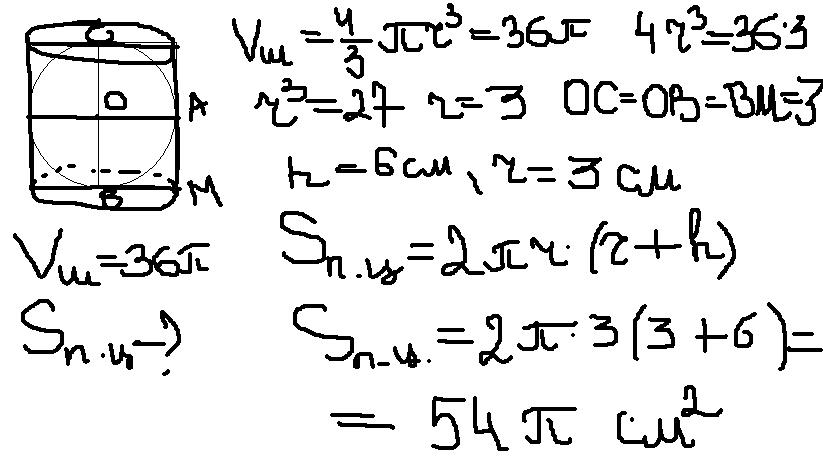
около шара, объем которого равен 36π cм², описан цилиндр.
найдите площадь полной поверхности цилиндра
Ответы
Ответ дал:
0
если шар вписан в цилиндр, то диаметр шара равен высоте цилиндра, а радиусы обеих фигур совпадают
Приложения:

Вас заинтересует
2 года назад
2 года назад
8 лет назад
8 лет назад
10 лет назад
10 лет назад
10 лет назад