• Предмет: Математика
  • Автор: Ренатка1оаоаов
  • Вопрос задан 10 лет назад

решите по действием пожалуйста,15 баллов

Приложения:

Ответы

Ответ дал: Dianka0Feolodel
0
кирпичная стенка это типо модуль??
Приложения:
Ответ дал: Ренатка1оаоаов
0
это скобки
Ответ дал: coolpandaRF
0
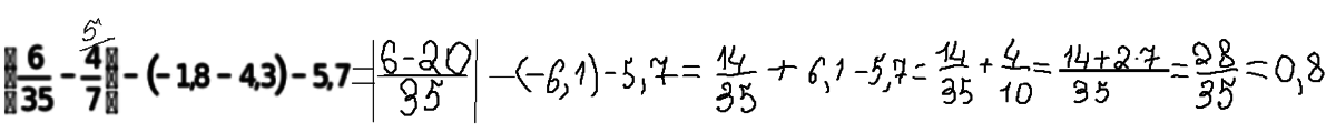
Если квадратики это скобки, то:
( frac{6}{35}  frac{4}{7} ) - (-1.8 - 4.3) - 5.7 = ( frac{6}{35}  frac{20}{35} ) + 1.8 + 4.3 - 5.7 = - frac{14}{35} + 0.4 = -0.4 + 0.4 = 0

Если квадратики это модуль, то:
| frac{6}{35}  frac{4}{7} | - (-1.8 - 4.3) - 5.7 = | frac{6}{35}  frac{20}{35} | + 1.8 + 4.3 - 5.7 =  frac{14}{35} + 0.4 = 0.4 + 0.4 = 0.8
Приложения:
Вас заинтересует