Ответы
Ответ дал:
0
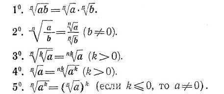
Вот формулы надеюсь помог)
Приложения:

Ответ дал:
0
они вычитаются,по-моему.. например:
4√5^4
(корень в 4-й степени из 5-ти в 4-ой степени)
в данном случае они сокращаются
4√5^4
(корень в 4-й степени из 5-ти в 4-ой степени)
в данном случае они сокращаются
Приложения:

Вас заинтересует
2 года назад
2 года назад
7 лет назад
7 лет назад
9 лет назад
9 лет назад
10 лет назад