• Предмет: Алгебра
  • Автор: Hail2
  • Вопрос задан 11 лет назад

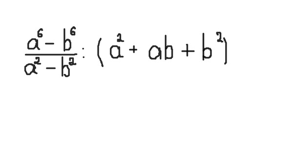
Упростите выражение. 
Пожалуйста, пошагово, со всеми объяснениями.

Приложения:

Ответы

Ответ дал: Loudon
0

1. Распишем числитель как разность квадратов: a^6-b^6 = (a^3-b^3)(a^3+b^3)

2. Распишем теперь получившиеся разность и сумму кубов: (a^3-b^3)(a^3+b^3) = (a+b)(a^2-ab+b^2)(a-b)(a^2+ab+b^2)

3. Распишем знаменатель как разность квадратов: a^2-b^2 = (a-b)(a+b)

4. Сократим на (a-b)(a+b)

5. Разделим на (a^2+ab+b^2)

6. В результате останется (a^2-ab+b^2)

Ответ дал: love67
0

 

=

 

 

=(а³-в³)(а³+в³)  :  а²+ав+в² = (a-b) (a²+ab+b²)* (a+b)(a²-ab+b²)  × 1______a²-ab+b²

    (a-b)(a+b)                                  (a-b)(a+b)                                        а²+ав+в²

 

 сократили а-в  и а-в       а+в  и а+в     

  а²+ав+в² и  а²+ав+в²

   
Вас заинтересует