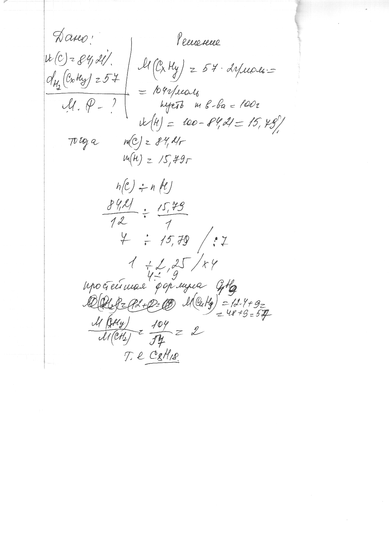
Массовая доля углерода в углеводороде состовляет 84,21%. Относительная плотность паров по водороду равна 57. Определите формулу углеводорода. (Желательно свои решения записать на листке вместе с дано и с решением сфотографируйте и выложите)!!!!!!!!!!
Ответы
Ответ дал:
0
с м о т р и в л о ж е н и я .............................
Приложения:

Вас заинтересует
2 года назад
2 года назад
8 лет назад
10 лет назад
10 лет назад
10 лет назад