Сечение шара плоскостью удаленной от центра шара на расстояние 2 см имеет площадь 12 п см. найдите объем шара.
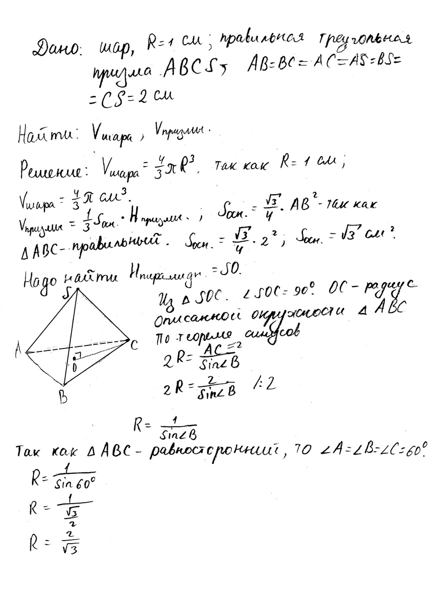
Какое тело имеет больший объем шар радиусом 1 см или правильно треугольная призма каждое ребро которой равно 2 см?
СРОЧНО ПРОШУ !!!!!!!!!!!!!
Ответы
Ответ дал:
0
Sсеч =12П<br />ОО'=2<br />О'С'= r сеч<br />ОС'= R шара<br />V=4/3ПR^3<br />C'O=sqrt12=2*sqrt3<br />треуг.ОО'С - прямоугольный<br />С'О-гипотен.<br />С'О=sqrt (O'O^2+O'C'^2) = sqrt (4+12)=4<br />V=4/3*64=85 целых 1/3 П см^3
Объем шара с радиусом 1 см = 4/3, а объем призмы равен sqrt(3) /2 ( V=(sqrt(3)*a^2) /4*h )
Приложения:

Ответ дал:
0
решение в приложении.
Приложения:



Вас заинтересует
2 года назад
2 года назад
9 лет назад
9 лет назад
10 лет назад