• Предмет: Математика
  • Автор: Krasotka0704
  • Вопрос задан 10 лет назад

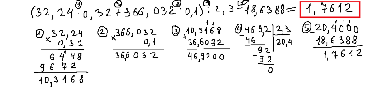
Найдите значение выражения (32,24 * 0,32 + 366,032 * 0,1) / 2,3 - 18,6388

Ответы

Ответ дал: kristina00
0
решение на фотке)))))))
Приложения:
Вас заинтересует