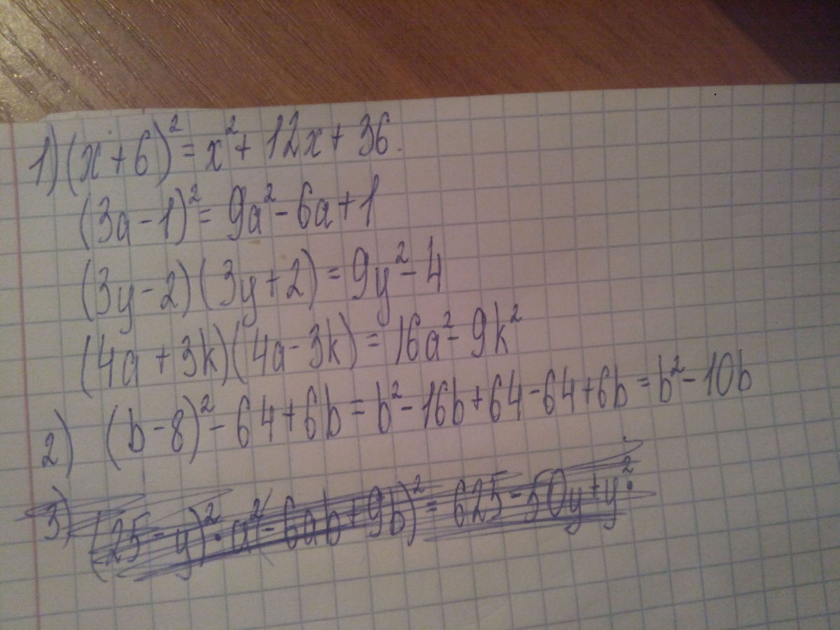
1.Преобразуйте в многочлен
(x+6)в кв.
(3а-1)в кв.
(3у-2)(3y+2)
(4a+3k)(4a-3k)
2.Упростите выражение
(b-8)в кв. -(64-6b)
3.Разложите на множители
25-y в кв.
a в кв. - 6ab +9b в кв.
Ответы
Ответ дал:
0
так вроде делать... а 3 не знаю как....
Приложения:

Вас заинтересует
2 года назад
7 лет назад
7 лет назад
9 лет назад
9 лет назад
10 лет назад