Ответы
Ответ дал:
0
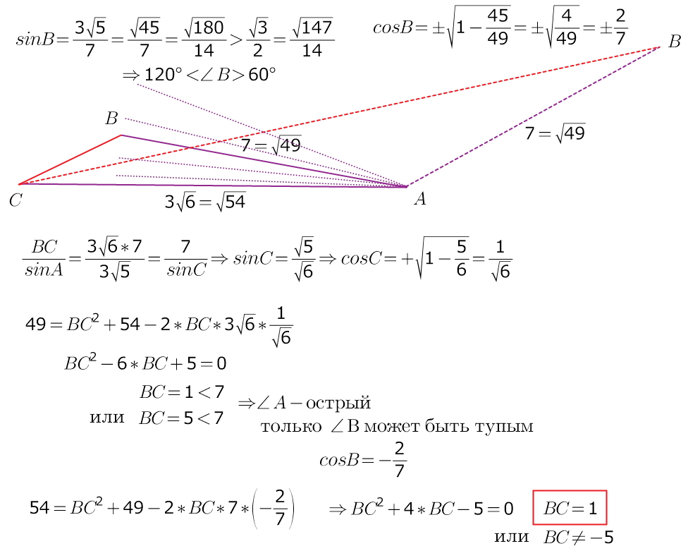
синусы любых углов в треугольнике только положительны)))
косинусы тупых углов отрицательны)))
для этого треугольника с уверенностью можно утверждать,
что только угол С не может быть тупым (т.к. АВ < AC),
т.е. косинус для него число положительное...
т.к. по условию AC > AB, значит тупой угол
либо В (если BC<7),
либо A (если BC>AC)
...и получится, что ВС = 1, т.к. только угол В получается тупой))
косинусы тупых углов отрицательны)))
для этого треугольника с уверенностью можно утверждать,
что только угол С не может быть тупым (т.к. АВ < AC),
т.е. косинус для него число положительное...
т.к. по условию AC > AB, значит тупой угол
либо В (если BC<7),
либо A (если BC>AC)
...и получится, что ВС = 1, т.к. только угол В получается тупой))
Приложения:

Ответ дал:
0
а как вы узнали, что косинус В= -2/7??????
Ответ дал:
0
из основного тригонометрического тождества)))
Ответ дал:
0
уже не надо,я уже увидела
Ответ дал:
0
спасибо за решение ы меня просто спасли
Ответ дал:
0
пожалуйста))
Вас заинтересует
2 года назад
2 года назад
7 лет назад
7 лет назад
9 лет назад
10 лет назад