• Предмет: Алгебра
  • Автор: doc7171
  • Вопрос задан 11 лет назад

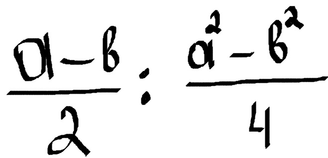
Найдите значение выражения:

Приложения:

Ответы

Ответ дал: Аноним
0

(a-b) / 2 * 4 / (a-b)(a+b) = 2 / (a+b)

Ответ дал: love67
0

 

=

 

 

 

 =  а-в   * 4     _____=   2___                              

     2  *  (а-в)(а+в)           а+в  

 

сократи а -  в

    4 и2

 

Вас заинтересует