• Предмет: Алгебра
  • Автор: alesia7
  • Вопрос задан 10 лет назад

Помогите!пожалуйста срочно

Приложения:

Ответы

Ответ дал: NNNLLL54
0
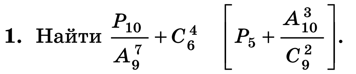
 frac{P_{10}}{A_9^7} +C_6^4= frac{1cdot 2cdot 3cdot ...cdot 9cdot 10}{9cdot 8cdot 7cdot ...cdot 4cdot 3} +C_6^2=20+frac{6cdot 5}{2!}=20+15=35\\\P_5+ frac{A_{10}^3}{C_9^2} =5!+ frac{10cdot 9cdot 8}{frac{9cdot 8}{2}} =120+20=140
Ответ дал: alesia7
0
Сколько различных шестизначных чисел можно записать с по- мощью цифр 2, 3, 4, 5, 6, 7 таким образом, чтобы все цифры в числах были различны? Сколько существует различных кодов, состоящих из двузнач- ного числа, цифры которого выбираются из цифр 1, 2, 3, и сле- дующего за ним трехбуквенного слова, буквы которого выби- раются из гласных букв русского алфавита? (Цифры и буквы в коде могут повторяться.)
Ответ дал: NNNLLL54
0
Это что , для меня?
Ответ дал: alesia7
0
да любимый
Ответ дал: alesia7
0
Давай общаться я вк Алеся Аббазова
Ответ дал: NNNLLL54
0
А я не парень...
Вас заинтересует