Ответы
Ответ дал:
0
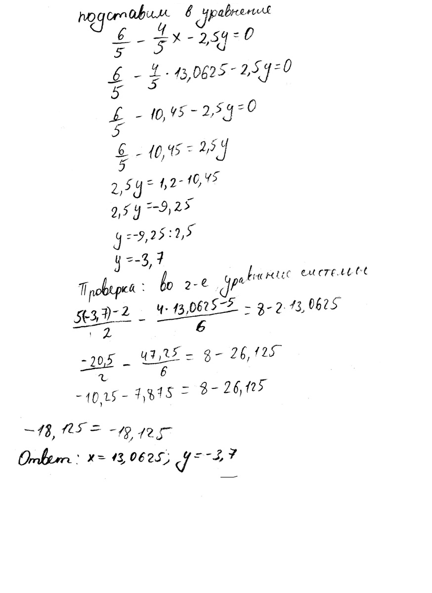
Решение в приложении.
Приложения:


Вас заинтересует
2 года назад
7 лет назад
10 лет назад
10 лет назад
10 лет назад
10 лет назад