Ответы
Ответ дал:
0
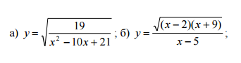
Выражение а)
.
Чтобы найти область определения функции, сначала выпишем ОДЗ:

С помощью метода интервалов вычислим, при каких значениях
выражение
больше нуля: 
Это и есть область определения функции:
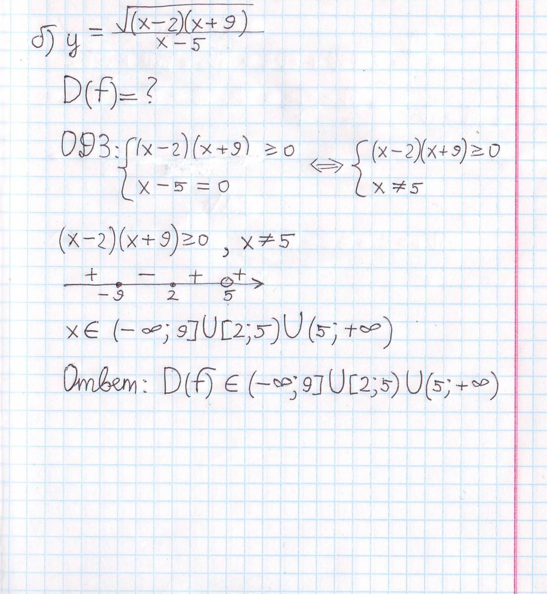
Решение второго выражения — см. во вложении. Метод решения тот же. Будьте внимательны с записью ответа: квадратные и круглые скобки — не одно и то же.
Чтобы найти область определения функции, сначала выпишем ОДЗ:
С помощью метода интервалов вычислим, при каких значениях
Это и есть область определения функции:
Решение второго выражения — см. во вложении. Метод решения тот же. Будьте внимательны с записью ответа: квадратные и круглые скобки — не одно и то же.
Приложения:
Ответ дал:
0
Спасибо большое, отличный ответ :)
Вас заинтересует
8 лет назад
8 лет назад
10 лет назад
10 лет назад
10 лет назад